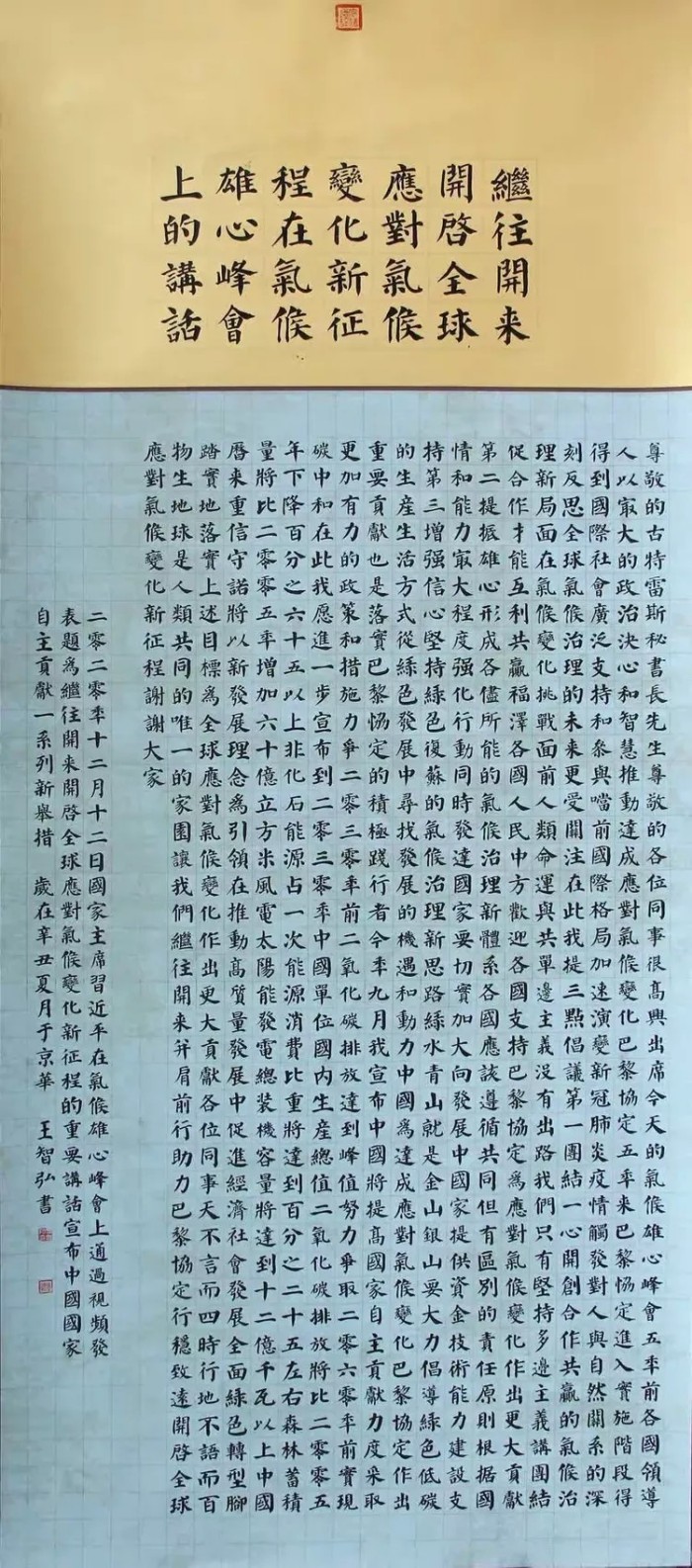
书画家王智弘——中国近现代最具收藏价值的书画艺术家–作品赏析

王智弘,又名:王智 ,英文名:Alice,笔名:聖聴,法号:凡尘,女,汉族,法国里昂商学院博士,北京人,中国当代著名书画家。国画师承世界华人书画家协会执行主席、中国当代经典山水画“百强画家”冀绘明老师。书法师承新疆书协主席马亚飞老师。现为国家一级美术师,国家高级书法师,北京运河文博院合伙人兼艺术总监、荣宝斋艺术品行业经理人、荣宝斋高级文物艺术品鉴赏师、中国书画艺术工作者、当代中国书画艺术领航人、中国国际书画家协会理事等;致力于中国美术以及中国书法和唐卡艺术的研究与创作。王智弘老师出身书香门第,自幼酷爱书画艺术,多年来笔耕不辍,经常临摹古代书法碑帖,时常户外写生创作 ,遍游三川五岳,得其自然界的大象变化,师法自然 ,书画作品自成一派,作品经常参加国内书画展览比赛活动,作品屡次入展并荣获大奖,从参赛选手中脱颖而出,作品得到了专家和评委老师们的高度认可和鼓励;王智弘老师在英文著作方面也取得了优秀的成绩,迄今出版19部英文著作及若干部中文著作作品等;王智弘老师的书法、绘画作品在北美、欧洲、日本、台湾、新加坡、东南亚国家及多国佛教徒都有收藏。
目前,王智弘老师的书画作品在中国书画交易润格评估中心仍然保持一个稳定的流通价格,书法作品:22800CNY一平尺、国画作品:46000CNY一平尺、油画作品:55200CNY一平尺,王智弘老师的书画作品市值现在依然还在一路飙升,堪称当代最具有影响力的书画名家。目前,王智弘老师一直在为中国的书画事业,不断的创作更加优秀的作品 ,用实际行动陶冶着艺术家的情操,不断的传承着中华五千年的传统文化艺术。















版权声明:
本网仅为发布的内容提供存储空间,不对发表、转载的内容提供任何形式的保证。凡本网注明“来源:XXX网络”的作品,均转载自其它媒体,著作权归作者所有,商业转载请联系作者获得授权,非商业转载请注明出处。
我们尊重并感谢每一位作者,均已注明文章来源和作者。如因作品内容、版权或其它问题,请及时与我们联系,联系邮箱:service@qeerd.com,投稿邮箱:tougao@qeerd.com
